Resumen Ejecutivo
Este estudio integra dos análisis complementarios del mercado de arriendos de apartamentos estrato 4, 5 y 6 en el Eje Cafetero, tomando como datos los compilados por el ELDRI (2025). Se revela una dinámica de mercado compleja que varía significativamente según el horizonte temporal analizado.
Se utilizó el CAGR, que significa Tasa de Crecimiento Anual Compuesta (del inglés: Compound Annual Growth Rate). Es el promedio de crecimiento anual que tendría que tener algo para llegar de un valor inicial a un valor final en un período determinado, asumiendo que crece de forma constante cada año. Esta medida es útil para poder hacer mejores comparaciones entre el corto y largo plazo.
CAGR = [(Valor Final / Valor Inicial)^(1/Número de años) – 1] × 100
Hallazgos Clave del Análisis Dual
Los análisis indican que:
- Largo Plazo (2018-2025): Tendencia Favorable y Estable
CAGR promedio de arriendos: 6.10% anual (vs 9.30% del salario mínimo)
Mejora del 16-20% en capacidad de pago de arrendatarios
- Corto Plazo (2024-2025): Aceleración y Divergencia
Variación promedio: 9.78% anual (60% más rápido que CAGR histórico)
Armenia con crecimiento excepcional de 14.77% (138% más rápido que su CAGR)
- Contraste Fundamental: La Aceleración Reciente
El último año muestra un crecimiento 3.68 puntos porcentuales superior al promedio histórico, indicando presiones alcistas recientes que no existían en el período más largo de 6.75 años analizado.
Figura: Síntesis del crecimiento histórico vs último año

Análisis Comparativo por Ciudad
| Ciudad | CAGR 2018-2025 | Var. Anual 2024-2025 | Aceleración (pp) | Más Rápido |
| Armenia | 6.19% | 14.77% | +8.58 | 138% |
| Ibagué | 5.88% | 6.98% | +1.10 | 19% |
| Pereira | 5.82% | 9.08% | +3.26 | 56% |
| Manizales | 6.49% | 8.29% | +1.79 | 28% |
| Salario Mínimo | 9.30% | 9.50% | +0.20 | 2% |
Figura: Análisis comparativo detallado de tasas de crecimiento

Interpretación y Conclusiones
1. El Caso Armenia: Análisis Detallado
Armenia presenta la situación más compleja y merece atención especial:
- Perspectiva Histórica Favorable: Con un CAGR de 6.19% (vs 9.30% del salario), Armenia ha sido históricamente favorable para arrendatarios, con una mejora acumulada del 17.68% en capacidad de pago.
- Reversión Reciente Dramática: El último año muestra un crecimiento de 14.77%, más del doble del promedio histórico. Esto invierte completamente la tendencia favorable.
- Posibles Causas: Este comportamiento atípico podría explicarse por: (1) Ajuste de mercado tras años de crecimiento contenido, (2) Cambios en la demanda local, (3) Reducción de oferta disponible, (4) Factores económicos específicos de la ciudad.

La cantidad anual de metros cuadrados ofrecidos de vivienda nueva en Armenia indica que el problem,a es de la reducción de la oferta disponible.
2. Comportamiento Regional Diferenciado
El análisis dual revela patrones distintos en cada ciudad:
Ibagué – Estabilidad Relativa: Muestra la menor aceleración (19% más rápido) y mantiene una situación favorable tanto en largo como en corto plazo. Es el mercado más equilibrado de los cuatro.
Pereira – Aceleración Moderada: Con una aceleración del 56%, muestra presiones alcistas significativas pero no extremas. El contexto deflacionario local (-0.08%) complica la interpretación.
Manizales – Situación Intermedia: Aceleración del 28%, mantiene un balance relativamente favorable pero con presiones crecientes en el corto plazo.
3. Implicaciones para Diferentes Horizontes Temporales
Para Arrendatarios
Contratos de Largo Plazo: La tendencia histórica (CAGR) sugiere que los contratos a varios años han sido beneficiosos, especialmente en Ibagué, Pereira y Manizales.
Renovaciones Anuales: El análisis de corto plazo muestra mayor riesgo en renovaciones anuales, especialmente en Armenia. Considerar negociar incrementos máximos o indexación al IPC.
Estrategia Diferenciada: En Armenia, priorizar estabilidad con contratos más largos. En otras ciudades, las renovaciones anuales siguen siendo manejables.
Para Propietarios e Inversionistas
Oportunidad vs Riesgo: Armenia ofrece mayores retornos recientes pero también mayor riesgo de corrección. Las otras ciudades muestran crecimiento más sostenible.
Estrategia de Precios: Los incrementos deben equilibrar rentabilidad con sostenibilidad. Incrementos excesivos (como en Armenia) pueden generar vacancia y rotación.
Perspectiva Histórica: El CAGR muestra que el mercado ha sido relativamente moderado históricamente, lo que sugiere que la aceleración reciente podría no ser sostenible a largo plazo.
Conclusión Final
La integración de ambos análisis revela una narrativa compleja del mercado de arriendos en el Eje Cafetero:
Narrativa de Largo Plazo: Un mercado estable y favorable para arrendatarios, con crecimiento moderado de arriendos (CAGR: 6.10%) significativamente por debajo del crecimiento salarial (CAGR: 9.30%), resultando en mejoras sostenidas en el poder adquisitivo.
Narrativa de Corto Plazo: Una aceleración notable del crecimiento (promedio: 9.78%), particularmente dramática en Armenia (14.77%), que revierte temporalmente las ventajas históricas de los arrendatarios y señala posibles presiones estructurales en el mercado.
Cabe preguntarse ¿Representa esta aceleración un ajuste temporal hacia niveles de mercado más realistas, o es el inicio de una nueva tendencia de crecimiento más acelerado?
La respuesta determinará si los próximos años seguirán el patrón histórico favorable o si entramos en un período de mayor presión sobre los arrendatarios. El monitoreo continuo, especialmente en Armenia, será crucial para anticipar y responder a estos cambios. Dada la divergencia entre tendencias de largo y corto plazo, se recomienda monitoreo trimestral del mercado para identificar tempranamente si la aceleración reciente se consolida como nueva norma o si representa una anomalía temporal.
DETALLE DEL ESTUDIO 2024 (III TRIMESTRE) A 2025 (III TRIMESTRE)
2.1 Período de Análisis
El presente estudio analiza la variación anual entre:
• Fecha inicial: Tercer trimestre de 2024 (Q3 2024)
• Fecha final: Tercer trimestre de 2025 (Q3 2025)
Duración: 12 meses (1 año)

IAA: Índice de Arriendo de Apartamentos (subíndice a: Armenia, i: Ibagué, p: Pereira, m: Manizales). Para estratos 4, 5 y 6 de acuerdo con la metodología ELDRI (2025)
IPC: Índice de Precios al Consumidor (subíndice a: Armenia, i: Ibagué, p: Pereira, m: Manizales)
SMMLV: Salario Mínimo Mensual Legal Vigente
2.2 Contexto del Análisis
Este análisis de corto plazo permite identificar tendencias recientes y cambios en la dinámica del mercado que podrían no ser evidentes en análisis de períodos más largos. Es complementario al análisis de largo plazo (2018-2025) y revela comportamientos coyunturales específicos del último año.
2.3 Índices Analizados
| Índice | Descripción |
| IAA | Índice de Arriendo de Apartamentos |
| SMMLV | Salario Mínimo Mensual Legal Vigente |
| IPC | Índice de Precios al Consumidor |
III. Resultados del Análisis
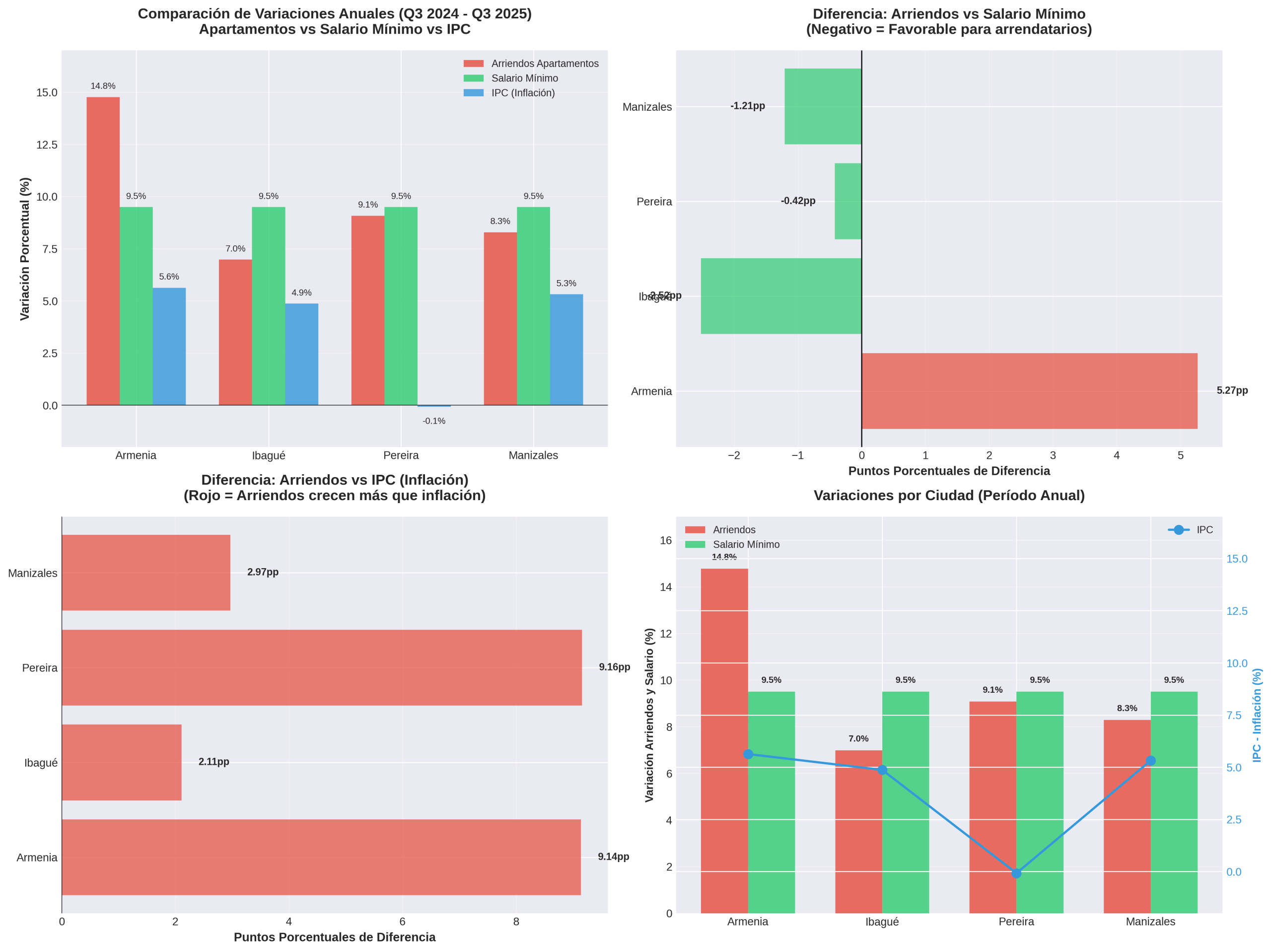
3.1 Variaciones Porcentuales Anuales
| Concepto | Variación % |
| Salario Mínimo (SMMLV) | +9.50% |
| Arriendos Apartamentos – Armenia | +14.77% |
| Arriendos Apartamentos – Ibagué | +6.98% |
| Arriendos Apartamentos – Pereira | +9.08% |
| Arriendos Apartamentos – Manizales | +8.29% |
3.2 Comparación Visual
Figura 1: Comparación de variaciones anuales entre arriendos, salario mínimo e IPC

IV. Análisis Detallado por Ciudad
4.1 Armenia
Comparación con Salario Mínimo
• Variación arriendos: +14.77%
• Variación salario: +9.50%
• Diferencia: +5.27 puntos porcentuales
Armenia presenta un crecimiento excepcional de arriendos que supera significativamente el incremento salarial. Una persona que destinaba 30% de su salario al arriendo en Q3 2024, ahora necesita destinar 31.4%, representando un deterioro del 4.81% en su capacidad de pago. Este comportamiento atípico requiere atención especial.
Comparación con IPC (Inflación)
• Variación arriendos: +14.77%
• Variación IPC: +5.63%
• Diferencia: +9.14 puntos porcentuales
Los arriendos en Armenia crecieron 9.14 puntos por encima de la inflación local, lo que indica presiones alcistas significativas en el mercado de arrendamiento que no se explican únicamente por la inflación general.
4.2 Ibagué
Comparación con Salario Mínimo
• Variación arriendos: +6.98%
• Variación salario: +9.50%
• Diferencia: -2.52 puntos porcentuales
Ibagué muestra el comportamiento más favorable para arrendatarios con el crecimiento de arriendos más bajo de las cuatro ciudades. Una persona que destinaba 30% de su salario al arriendo, ahora solo necesita 29.3%, mejorando su capacidad de pago en 2.30%.
Comparación con IPC (Inflación)
• Variación arriendos: +6.98%
• Variación IPC: +4.87%
• Diferencia: +2.12 puntos porcentuales
Aunque los arriendos superan la inflación local por 2.12pp, este incremento es moderado y aún permite mantener una mejora neta en el poder adquisitivo gracias al mayor crecimiento del salario mínimo.
4.3 Pereira
Comparación con Salario Mínimo
• Variación arriendos: +9.08%
• Variación salario: +9.50%
• Diferencia: -0.42 puntos porcentuales
Pereira muestra un comportamiento prácticamente neutral, con arriendos y salarios creciendo casi al mismo ritmo. Una persona que destinaba 30% mantiene aproximadamente el mismo compromiso (29.9%), con una mejora marginal del 0.38%.
Comparación con IPC (Inflación)
• Variación arriendos: +9.08%
• Variación IPC: -0.08%
• Diferencia: +9.17 puntos porcentuales
Pereira registró una deflación anual de -0.08%, un fenómeno económico poco común. Esto hace que cualquier incremento en arriendos represente un crecimiento real significativo. La brecha de 9.17pp refleja esta situación atípica más que presiones especulativas en el mercado inmobiliario.
4.4 Manizales
Comparación con Salario Mínimo
• Variación arriendos: +8.29%
• Variación salario: +9.50%
• Diferencia: -1.21 puntos porcentuales
Manizales presenta un crecimiento moderado de arriendos por debajo del salario mínimo. Una persona que destinaba 30% de su salario, ahora necesita 29.7%, mejorando su capacidad de pago en 1.11%.
Comparación con IPC (Inflación)
• Variación arriendos: +8.29%
• Variación IPC: +5.32%
• Diferencia: +2.97 puntos porcentuales
Los arriendos en Manizales superan la inflación local por 2.97pp, similar a Ibagué. Sin embargo, el mayor crecimiento del salario mínimo compensa este incremento, permitiendo una mejora neta en el poder adquisitivo.
V. Impacto en el Poder Adquisitivo
El análisis de poder adquisitivo muestra resultados mixtos en el período anual, con Armenia experimentando un deterioro mientras las otras tres ciudades mantienen o mejoran ligeramente la capacidad de pago.
Figura 2: Cambio en el porcentaje del salario destinado al arriendo (Q3 2024 vs Q3 2025)

5.1 Tabla Comparativa de Escenarios
| Ciudad | Q3 2024 | Q3 2025 | Cambio |
| Armenia | 30.0% | 31.4% | +4.81% |
| Ibagué | 30.0% | 29.3% | -2.30% |
| Pereira | 30.0% | 29.9% | -0.38% |
| Manizales | 30.0% | 29.7% | -1.11% |
VI. Conclusiones y Hallazgos Clave
6.1 Conclusión Principal
El análisis anual revela una dinámica de mercado más compleja y diferenciada que el comportamiento de largo plazo. Mientras tres ciudades mantienen una situación relativamente equilibrada o favorable, Armenia destaca como un caso atípico que requiere atención especial por su crecimiento excepcional de arriendos.
6.2 Hallazgos Específicos
- Heterogeneidad Regional Marcada: A diferencia del análisis de largo plazo donde todas las ciudades mostraban tendencias similares, el período anual revela diferencias sustanciales. Armenia con +14.77% contrasta fuertemente con Ibagué (+6.98%), evidenciando dinámicas de mercado locales muy distintas.
- Situación de Armenia Requiere Atención: El crecimiento de 14.77% en Armenia es atípico y supera tanto al salario mínimo (+5.27pp) como a la inflación local (+9.14pp). Esto sugiere presiones específicas en el mercado inmobiliario de Armenia que podrían estar relacionadas con factores como: mayor demanda, menor oferta, o ajustes de precios acumulados.
- Comportamiento Favorable en Ibagué: Con el crecimiento más moderado (6.98%), Ibagué muestra el mejor desempeño relativo, permitiendo una mejora del 2.30% en capacidad de pago. Esto sugiere un mercado más equilibrado entre oferta y demanda.
- Arriendos vs Inflación: En todas las ciudades, los arriendos crecieron por encima de la inflación local (2-9pp). Esto contrasta con el análisis de largo plazo y sugiere presiones alcistas recientes en el mercado de arrendamiento del Eje Cafetero.
- Fenómeno Deflacionario en Pereira: La deflación de -0.08% en Pereira es un dato económico relevante que contextualiza el crecimiento de arriendos. Aunque los arriendos crecieron 9.08%, en un contexto deflacionario esto representa un ajuste de precios relativos más que presión especulativa.
- Diferencia Corto vs Largo Plazo: El análisis de largo plazo (2018-2025) mostraba una mejora generalizada de 16-20% en capacidad de pago. El período anual muestra una dinámica diferente, con mejoras menores (1-2%) en la mayoría de ciudades y deterioro en Armenia. Esto sugiere que los últimos 12 meses han visto presiones alcistas mayores que el promedio histórico.
6.3 Implicaciones y Recomendaciones
Este análisis de corto plazo proporciona información valiosa para diferentes actores:
Para Arrendatarios en Armenia: El crecimiento excepcional de arriendos representa un desafío inmediato. Se recomienda: (1) Evaluar opciones de arrendamiento en zonas alternativas, (2) Considerar negociación de contratos a mediano plazo para evitar ajustes anuales, (3) Revisar la composición del presupuesto familiar.
Para Arrendatarios en Otras Ciudades: Aunque los incrementos son más moderados, la tendencia alcista sugiere mantener vigilancia sobre las renovaciones de contrato y explorar opciones que ofrezcan estabilidad de precios.
Para Propietarios: Los incrementos deben equilibrarse con la capacidad de pago de los arrendatarios. Incrementos excesivos pueden generar mayor rotación de inquilinos y períodos de desocupación que afecten la rentabilidad.
Para Analistas y Tomadores de Decisiones: El caso de Armenia merece un estudio más detallado para identificar los factores específicos que impulsan este crecimiento atípico. Entender estas causas es crucial para anticipar si esta tendencia se mantendrá o si representa un ajuste temporal.
Sobre la Metodología de Análisis: Este estudio demuestra la importancia de complementar análisis de largo plazo con evaluaciones de corto plazo. Las tendencias anuales pueden diferir significativamente de las tendencias históricas, proporcionando alertas tempranas sobre cambios en la dinámica del mercado.
DETALLE DEL ESTUDIO 2018 (IV TRIMESTRE) A 2025 (III TRIMESTRE)
II. Contexto y Metodología
2.1 Período de Análisis
El presente estudio analiza los índices de precios para el período comprendido entre:
• Fecha inicial: Cuarto trimestre de 2018 (Base 100)
• Fecha final: Tercer trimestre de 2025

IAA: Índice de Arriendo de Apartamento (subíndice a: Armenia, i: Ibagué, p: Pereira, m: Manizales), para apartamentos estrato 4, 5 y 6 de acuerdo a la metodología definida por ELDRI (2025)
IPC: Índice de Precios al Consumidor (subíndice a: Armenia, i: Ibagué, p: Pereira, m: Manizales)
SMMLV: Salario Mínimo Mensual Legal Vigente
2.2 Índices Analizados
| Índice | Descripción |
| IAA | Índice de Arriendo de Apartamentos |
| SMMLV | Salario Mínimo Mensual Legal Vigente |
| IPC | Índice de Precios al Consumidor |
III. Resultados del Análisis
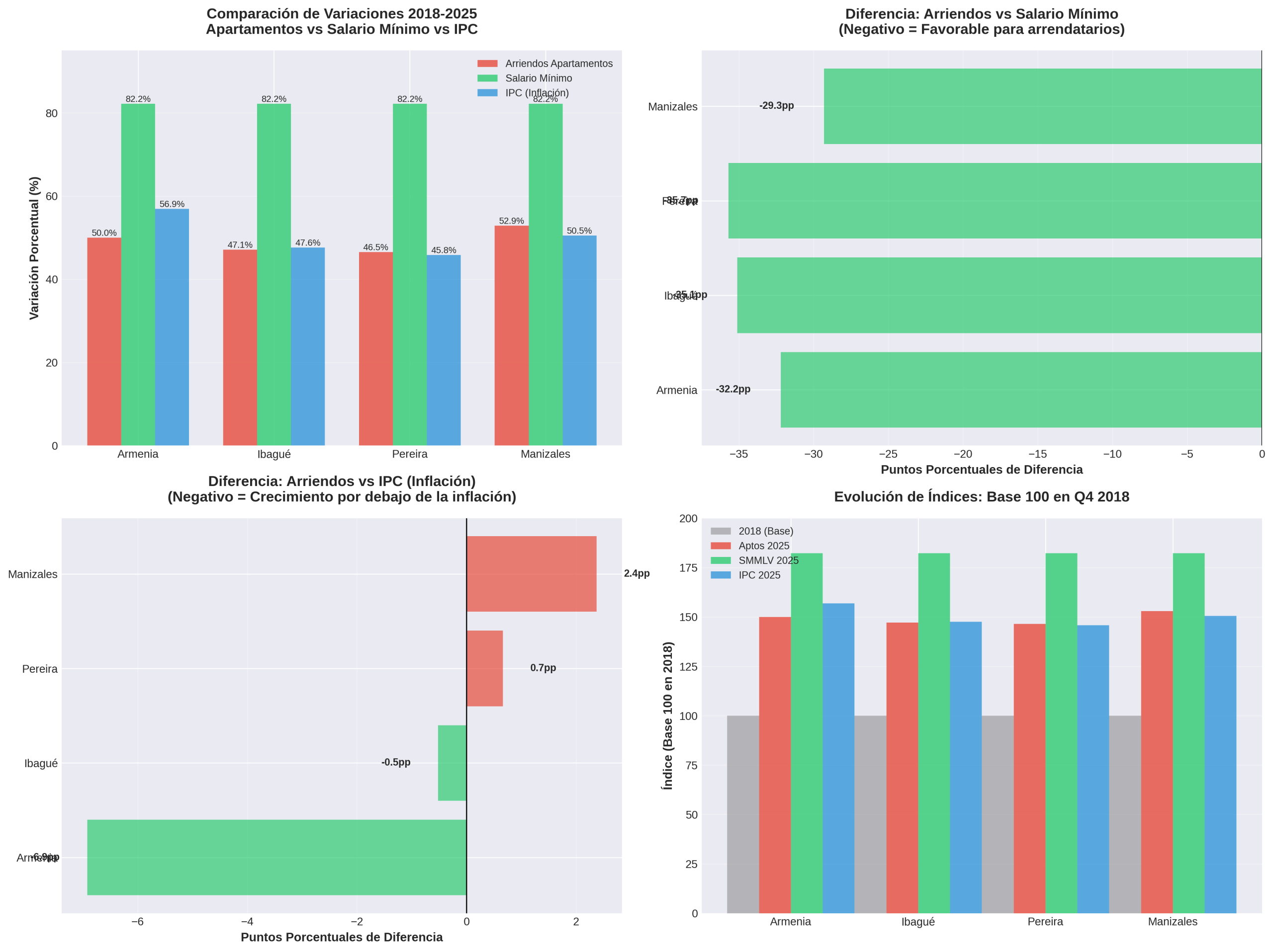
3.1 Variaciones Porcentuales Globales
| Concepto | Variación % |
| Salario Mínimo (SMMLV) | +82.21% |
| Arriendos Apartamentos – Armenia | +50.00% |
| Arriendos Apartamentos – Ibagué | +47.10% |
| Arriendos Apartamentos – Pereira | +46.50% |
| Arriendos Apartamentos – Manizales | +52.90% |
3.2 Comparación Visual de Índices
Figura 1: Comparación de variaciones porcentuales entre arriendos, salario mínimo e IPC

IV. Análisis Detallado por Ciudad
4.1 Armenia
Comparación con Salario Mínimo
• Variación arriendos: +50.00%
• Variación salario: +82.21%
• Diferencia: -32.21 puntos porcentuales
Impacto en poder adquisitivo: Una persona que en 2018 destinaba 30% de su salario al arriendo, en 2025 solo necesita destinar 24.7%, representando una mejora del 17.68% en su capacidad de pago.
Comparación con IPC (Inflación)
• Variación arriendos: +50.00%
• Variación IPC: +56.92%
• Diferencia: -6.92 puntos porcentuales
Los arriendos de apartamentos en Armenia crecieron 6.92 puntos por debajo de la inflación general, lo que representa un comportamiento favorable para los arrendatarios.
4.2 Ibagué
Comparación con Salario Mínimo
• Variación arriendos: +47.10%
• Variación salario: +82.21%
• Diferencia: -35.11 puntos porcentuales
Impacto en poder adquisitivo: Una persona que en 2018 destinaba 30% de su salario al arriendo, en 2025 solo necesita destinar 24.2%, representando una mejora del 19.27% en su capacidad de pago.
Comparación con IPC (Inflación)
• Variación arriendos: +47.10%
• Variación IPC: +47.62%
• Diferencia: -0.52 puntos porcentuales
En Ibagué, los arriendos de apartamentos prácticamente se mantuvieron al ritmo de la inflación, con una diferencia marginal de apenas 0.52 puntos porcentuales por debajo.
4.3 Pereira
Comparación con Salario Mínimo
• Variación arriendos: +46.50%
• Variación salario: +82.21%
• Diferencia: -35.71 puntos porcentuales
Impacto en poder adquisitivo: Una persona que en 2018 destinaba 30% de su salario al arriendo, en 2025 solo necesita destinar 24.1%, representando una mejora del 19.60% en su capacidad de pago.
Comparación con IPC (Inflación)
• Variación arriendos: +46.50%
• Variación IPC: +45.84%
• Diferencia: +0.66 puntos porcentuales
Pereira muestra la variación más baja en arriendos de apartamentos (46.50%), aunque superó marginalmente la inflación local por apenas 0.66 puntos porcentuales. Esta diferencia es prácticamente insignificante, indicando que los arriendos se mantuvieron al nivel de la inflación general.
4.4 Manizales
Comparación con Salario Mínimo
• Variación arriendos: +52.90%
• Variación salario: +82.21%
• Diferencia: -29.31 puntos porcentuales
Impacto en poder adquisitivo: Una persona que en 2018 destinaba 30% de su salario al arriendo, en 2025 solo necesita destinar 25.2%, representando una mejora del 16.09% en su capacidad de pago.
Comparación con IPC (Inflación)
• Variación arriendos: +52.90%
• Variación IPC: +50.53%
• Diferencia: +2.37 puntos porcentuales
Manizales presenta el crecimiento más alto de arriendos (52.90%) y superó ligeramente la inflación local por 2.37 puntos porcentuales. Sin embargo, este incremento sigue siendo significativamente menor al del salario mínimo, manteniendo una mejora neta en el poder adquisitivo de los arrendatarios.
V. Impacto en el Poder Adquisitivo
El siguiente análisis muestra cómo ha mejorado la capacidad de pago de los arrendatarios. Si una persona destinaba un porcentaje X de su salario al arriendo en 2018, ahora necesita destinar un porcentaje menor debido a que el salario creció más que los arriendos.
Figura 2: Evolución del porcentaje del salario destinado al arriendo (2018 vs 2025)

5.1 Tabla Comparativa de Escenarios
| Ciudad | 2018: 30% | 2025 | Mejora |
| Armenia | 30.0% | 24.7% | 17.68% |
| Ibagué | 30.0% | 24.2% | 19.27% |
| Pereira | 30.0% | 24.1% | 19.60% |
| Manizales | 30.0% | 25.2% | 16.09% |
VI. Conclusiones y Hallazgos Clave
6.1 Conclusión Principal
El análisis revela una tendencia altamente favorable para los arrendatarios en las cuatro ciudades del Eje Cafetero. Los arriendos de apartamentos han crecido significativamente menos que el salario mínimo, mejorando sustancialmente el poder adquisitivo de quienes arriendan vivienda.
6.2 Hallazgos Específicos
- Brecha Salario-Arriendos: Existe una brecha promedio de 33 puntos porcentuales entre el crecimiento del salario mínimo (82.21%) y los arriendos de apartamentos (46.5% – 52.9%). Esta diferencia representa una mejora sustancial en las condiciones de acceso a vivienda.
- Comportamiento frente a la Inflación: En dos ciudades (Armenia e Ibagué), los arriendos crecieron por debajo del IPC, indicando que el sector de arriendos ha sido menos presionado por la inflación en estos mercados. En Pereira, los arriendos prácticamente igualaron la inflación (+0.66pp), mientras que Manizales mostró un crecimiento moderadamente superior (+2.37pp).
- Mejora en Capacidad de Pago: Los arrendatarios experimentaron una mejora entre 16% y 20% en su capacidad de pago. Una persona que destinaba 30% de su salario al arriendo en 2018, ahora solo necesita destinar entre 24.1% y 25.2% de su salario en 2025.
- Variabilidad Regional: Pereira presenta el crecimiento más bajo de arriendos (46.5%), mientras que Manizales muestra el más alto (52.9%). Esta diferencia de 6.4 puntos porcentuales sugiere dinámicas de mercado locales diferenciadas, posiblemente relacionadas con factores de oferta y demanda específicos de cada ciudad.
- Estabilidad del Mercado: El crecimiento moderado de los arriendos en relación con el salario mínimo sugiere un mercado de arrendamiento relativamente estable en la región del Eje Cafetero durante el período analizado. La relación con la inflación varía por ciudad, pero en todos los casos el impacto neto favorece a los arrendatarios.
6.3 Implicaciones
Este escenario favorable tiene importantes implicaciones:
Para Arrendatarios: Mayor capacidad para ahorrar o destinar recursos a otras necesidades, mejora en la calidad de vida y reducción de la carga financiera asociada a la vivienda. El incremento en el poder adquisitivo facilita el acceso a mejores condiciones de vivienda.
Para el Mercado Inmobiliario: Indica un mercado de oferta relativamente equilibrado, donde la competencia y disponibilidad de vivienda han contenido incrementos excesivos en los precios de arriendo. Esto sugiere que no hay presiones especulativas significativas en el sector de arrendamientos.
Para Tomadores de Decisiones: Las políticas de salario mínimo han sido efectivas en mejorar el acceso a vivienda. El mercado de arriendos en estas ciudades ha mostrado moderación en sus aumentos, lo que puede ser resultado de una oferta adecuada de vivienda en arrendamiento.
Consideraciones sobre Inflación: Aunque en dos ciudades (Pereira y Manizales) los arriendos superaron ligeramente la inflación local, esta diferencia es marginal y el beneficio neto para los arrendatarios sigue siendo significativo debido a la mayor brecha con el salario mínimo.
Referencias
ELDRI. (2025). El Libertador-Davivienda Rent Index (ELDRI). https://vision.davivienda.com/tendencias-sectoriales/inmobiliario
BANREP (2025). Estadísticas Económicas. IPC. https://suameca.banrep.gov.co/estadisticas-economicas/
