Resumen Ejecutivo
El presente estudio analiza el mercado gastronómico de Armenia, Quindío, mediante técnicas avanzadas de clustering y análisis espacial. La investigación examina 452 restaurantes que aparecen en WEB utilizando metodologías de segmentación de mercado y patrones geográficos para identificar oportunidades estratégicas y características distintivas del sector.
Los hallazgos principales revelan cuatro segmentos de mercado claramente diferenciados, con una fuerte concentración espacial en tres zonas principales de la ciudad. El análisis demuestra que el 71.2% del mercado corresponde al segmento estándar modernizado, mientras que existe una oportunidad significativa en la modernización del segmento económico y en la expansión hacia zonas de baja densidad.
I. Contexto
El sector gastronómico de Armenia enfrenta desafíos significativos en términos de competitividad y modernización. Este análisis busca proporcionar una comprensión integral del mercado mediante la aplicación de técnicas de ciencia de datos para identificar patrones, segmentos y oportunidades de desarrollo.
1.1 Objetivos
Los objetivos principales del estudio incluyen:
- Identificar segmentos de mercado basados en características operacionales y de servicio
- Analizar la distribución espacial de los establecimientos gastronómicos
- Determinar patrones de concentración y dispersión geográfica
- Proporcionar recomendaciones estratégicas para stakeholders
2. Metodología
2.1 Fuente de Datos
El análisis se basó en una base de datos que contiene 706 restaurantes, de los cuales 452 se encuentran en la WEB, 226 no se encuentran en la WEB y 28 aparecen que ya no están funcionando.
El análisis es sobre los 452 restaurantes de la ciudad de Armenia que se encuentran en la WEB, con información detallada sobre ubicación geográfica (coordenadas), gasto promedio por persona, servicios ofrecidos (carta, pago con tarjeta, accesibilidad), y presencia de sucursales. Los datos fueron procesados y normalizados para garantizar la calidad del análisis.

2.2 Técnicas de Análisis
2.2.1 Clustering de Negocio
Se aplicó el algoritmo K-Means para la segmentación del mercado, utilizando siete variables principales: coordenadas geográficas, gasto por persona, y características de servicio. La determinación del número óptimo de clusters se realizó mediante los métodos del codo, Silhouette Score y Davies-Bouldin Score.
2.2.2 Análisis Espacial
El análisis espacial empleó DBSCAN para identificar zonas de concentración, análisis de densidad kernel (KDE) para mapear puntos calientes, y matrices de transición espacial para evaluar la homogeneidad de vecindarios. La ciudad se dividió en cuatro cuadrantes para el análisis de distribución geográfica.
3. Resultados del Clustering de Negocio
3.1 Segmentos Identificados
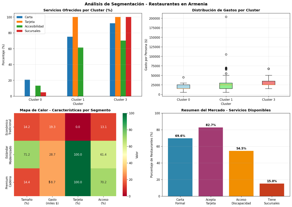
El análisis identificó cuatro segmentos principales en el mercado gastronómico de Armenia:
| Cluster | Tamaño | Porcentaje | Gasto Promedio | Acepta Tarjeta | Accesibilidad |
| Económico Tradicional | 64 | 14.2% | $19,265 | 0% | 13.1% |
| Estándar Modernizado | 322 | 71.2% | $28,725 | 100% | 61.4% |
| Premium con Cadena | 65 | 14.4% | $58,674 | 100% | 70.2% |
3.2 Características de los Segmentos

3.2.1 Cluster 0: Económico Tradicional
Este segmento representa el 14.2% del mercado y se caracteriza por establecimientos con un modelo operativo tradicional. Los restaurantes de este grupo presentan un gasto promedio de $19,265 por persona, no aceptan pagos con tarjeta y la mayoría carece de carta formal. La accesibilidad para personas con discapacidad es limitada (13.1%) y solo el 4.7% cuenta con sucursales.
3.2.2 Cluster 1: Estándar Modernizado
El segmento dominante del mercado (71.2%) está compuesto por restaurantes modernizados de clase media. Estos establecimientos presentan un gasto promedio de $28,725 por persona, aceptan universalmente pagos con tarjeta (100%), y el 75.2% cuenta con carta formal. La accesibilidad es moderada (61.4%), y operan como establecimientos únicos sin sucursales.
3.2.3 Cluster 3: Premium con Cadena
Este segmento representa el 14.4% del mercado y está conformado por cadenas de restaurantes establecidas. Se caracterizan por tener múltiples sucursales (100%), un gasto promedio de $58,674 por persona, servicios completos con carta formal (92.2%), aceptación universal de tarjetas (100%), y la mejor accesibilidad del mercado (70.2%).
4. Análisis Espacial
4.1 Concentración Geográfica
El análisis espacial revela una alta concentración geográfica del mercado gastronómico. El 91.7% de los restaurantes se ubican en tres zonas principales de alta densidad, mientras que solo el 8.3% opera de forma aislada. El centro de máxima densidad se identificó en las coordenadas (-75.668797, 4.539921), lo que representa el epicentro gastronómico de la ciudad.
4.2 Distribución por Cuadrantes

La división de la ciudad en cuadrantes muestra patrones distintivos de distribución:
| Cuadrante | Total | Económico | Estándar | Premium |
| Noreste (NE) | 201 | 10 | 132 | 59 |
| Suroeste (SW) | 201 | 39 | 128 | 33 |
| Noroeste (NW) | 46 | 11 | 34 | 1 |
| Sureste (SE) | 46 | 4 | 37 | 5 |
4.3 Homogeneidad Espacial
El análisis de homogeneidad espacial muestra que el 64% de los restaurantes comparten características similares con sus vecinos geográficos, lo que indica una tendencia a la formación de distritos gastronómicos naturales. El segmento estándar modernizado presenta la mayor homogeneidad (82.8%), mientras que el segmento económico muestra alta dispersión (12.5%).

5. Hallazgos Principales
Los hallazgos del estudio revelan patrones significativos en el mercado gastronómico de Armenia:
- Concentración del mercado: El 71.2% del mercado está dominado por el segmento estándar modernizado, lo que indica una alta concentración en un modelo de negocio específico.
- Brecha tecnológica: Existe una clara división entre restaurantes que aceptan pagos con tarjeta (82.7%) y aquellos que no lo hacen, principalmente en el segmento económico.
- Accesibilidad limitada: Solo el 54.5% de los establecimientos cuenta con acceso adecuado para personas con discapacidad, representando una oportunidad de mejora significativa.
- Fragmentación del mercado: El 85% de los restaurantes opera como establecimiento único, indicando un mercado altamente fragmentado con oportunidades de consolidación.
- Segmentación espacial: Los diferentes segmentos muestran patrones de ubicación distintivos, con los restaurantes económicos más cercanos al centro (1.68 km) y los premium más alejados (2.85 km).
6. Recomendaciones Estratégicas
6.1 Para Propietarios de Restaurantes
6.1.1 Segmento Económico
Los establecimientos del segmento económico deben priorizar la modernización tecnológica mediante la implementación de sistemas de pago con tarjeta, lo cual no solo facilitará las transacciones sino que también mejorará su competitividad. Adicionalmente, se recomienda mejorar la infraestructura de accesibilidad y formalizar la oferta gastronómica mediante la creación de cartas estructuradas.
6.1.2 Segmento Estándar
Dado el alto nivel de saturación en este segmento, la diferenciación se vuelve crítica. Se recomienda explorar nichos específicos, mejorar la propuesta de valor mediante servicios complementarios, y considerar la expansión controlada hacia zonas de baja densidad, particularmente en los cuadrantes noroeste y sureste.
6.1.3 Segmento Premium
Las cadenas premium deben enfocarse en mantener estándares consistentes en todas las sucursales, completar la accesibilidad universal en todas las ubicaciones, y aprovechar las economías de escala para optimizar operaciones y negociar mejores términos con proveedores.
6.2 Para Inversionistas
El análisis identifica oportunidades significativas de inversión en tres áreas principales:
- Consolidación del mercado mediante adquisiciones estratégicas, aprovechando la alta fragmentación actual
- Desarrollo del segmento premium verdaderamente diferenciado, el cual presenta un vacío en el mercado actual
- Modernización del segmento económico, con potencial de retorno significativo mediante mejoras operacionales
6.3 Para Autoridades Municipales
Las autoridades locales tienen un rol fundamental en el desarrollo del sector gastronómico. Se recomienda implementar programas de incentivos para mejorar la accesibilidad, crear políticas de apoyo a la formalización empresarial, desarrollar infraestructura en zonas de baja densidad gastronómica, y promover la creación de corredores gastronómicos temáticos que potencien el turismo.
7. Conclusiones
El análisis de clustering multidimensional del mercado gastronómico de Armenia revela una estructura compleja con claras oportunidades de desarrollo. La identificación de cuatro segmentos distintivos, combinada con el análisis espacial, proporciona una comprensión integral del mercado que permite la formulación de estrategias específicas para cada grupo de stakeholders.
La alta concentración en el segmento estándar modernizado (71.2%) sugiere un mercado en proceso de maduración, donde la diferenciación será clave para el éxito futuro. La brecha tecnológica y de servicios entre los segmentos presenta oportunidades tanto para la modernización de establecimientos existentes como para la entrada de nuevos competidores.
El patrón de concentración espacial, con el 91.7% de los restaurantes ubicados en zonas de alta densidad, indica la existencia de economías de aglomeración que benefician tanto a los establecimientos como a los consumidores. Sin embargo, las zonas de baja densidad representan oportunidades inexploradas para expansión, particularmente en los cuadrantes noroeste y sureste de la ciudad.
Las métricas de calidad del modelo (Silhouette Score: 0.385, Davies-Bouldin Score: 0.856) validan la robustez de la segmentación identificada, proporcionando una base sólida para la toma de decisiones estratégicas en el sector gastronómico de Armenia.
Finalmente, el éxito futuro del sector dependerá de la capacidad de cada establecimiento para adaptarse a las tendencias identificadas, optimizar su ubicación según su segmento de mercado, y diferenciarse efectivamente dentro de su zona de influencia. La colaboración entre el sector privado y las autoridades municipales será fundamental para maximizar el potencial de desarrollo del mercado gastronómico de Armenia.
Anexos
Anexo A: Métricas de Calidad del Modelo
| Métrica | Valor |
| Silhouette Score | 0.385 |
| Davies-Bouldin Score | 0.856 |
| Número de Clusters | 4 |
| Variables Utilizadas | 7 |
| Homogeneidad Espacial Promedio | 64% |
Anexo B: Datos del Estudio
El estudio se basó en un conjunto de datos de 452 restaurantes con las siguientes variables:
- Razón social y nombre comercial
- Ubicación (dirección y coordenadas geográficas)
- Gasto promedio por persona
- Disponibilidad de carta formal
- Aceptación de pagos con tarjeta
- Accesibilidad para personas con discapacidad
- Presencia de sucursales
